Skip to content Skip to sidebar Skip to footer

Widget HTML #1

Surface Area Examples, What Is The Surface Area Formula Example, The cylinder has a surface area of 300 square meters, while the cylinder's height is 12 m.

Surface Area Examples, What Is The Surface Area Formula Example, The cylinder has a surface area of 300 square meters, while the cylinder's height is 12 m.. Examples of prisms are cubes and triangular, rectangular, hexagonal and octagonal prisms. Surface area of cube is the sum of areas of all the faces of cube, that covers it. The pointed end of a cone is called the apex and the flat end is called the base. The surface area of a hemisphere is equal to the area of the curve surface plus the area of the circular base. Total surface area of the irregular solid = 747.32 cm 2 + 593.46 cm 2.

If the lateral surface area of a cube is 900 cm 2, find the length of its side. Surface area of a rectangular prism formula a polyhedron with two polygonal bases parallel to each other is a prism.a prism that has 2 parallel rectangular bases and 4 rectangular faces is a rectangular prism. Surface area of hemisphere = × surface area of sphere + area of base = × 4π r 2 + π r 2 = 3π r 2 Maths surface area & volume part 3 (surface area examples) cbse class 10 mathematics x If s is the length of one of its sides, then the area of each side of a cube is s2.

Surface Area And Volumes Prezentaciya Onlajn
Surface Area And Volumes Prezentaciya Onlajn from cf2.ppt-online.org
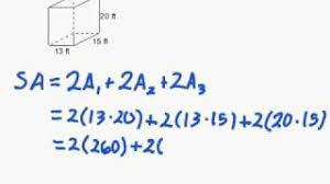
A = bh + l (s1 + s2 + s3) where a is the surface area, b is the bottom edge of the base triangle, h is the height of the base triangle, l is the length of the prism, and s1, s2, and s3 are the three edges of the base triangle. A = √ 64 = 8 cm. Khan academy is a 501(c)(3) nonprofit organization. Example 15.5.8 finding the surface area of a parameterized surface using the parameterization found in example 15.5.2, find the surface area of z = x2 + 2y2 over the circular disk of radius 2, centered at the origin. The pointed end of a cone is called the apex and the flat end is called the base. Also, learn volume of a cube. Surface area of a rectangular prism formula a polyhedron with two polygonal bases parallel to each other is a prism.a prism that has 2 parallel rectangular bases and 4 rectangular faces is a rectangular prism. For example, commercial grade zinc oxide has a surface area range of 2.5 to 12 m 2 /g while nanoparticle zinc oxide can have surface areas as high as 54 m 2 /g.

Also, learn volume of a cube.

Example 5 you could use surface area of a cylinder to find out how much paint you would need to paint a fuel tank. Examples surface area of a cube = 6 a 2 (a is the length of the side of each edge of the cube) in words, the surface area of a cube is the area of the six squares that cover it. Surface area of cube is the sum of areas of all the faces of cube, that covers it. Roughly speaking, it is the amount of a surface (i.e., it is proportional to the amount of paint needed to cover it), and has units of distance squared. The pointed end of a cone is called the apex and the flat end is called the base. The formula for surface area is equal to six times of square of length of the sides of cube. Example 1 this cube has six congruent faces, each with a length and width of 3 cm. Also, learn volume of a cube. The nanoparticles have superior uv blocking properties when compared to the bulk material, making them useful in applications such as sunscreen. Let a be the side of the cube. A = bh + l (s1 + s2 + s3) where a is the surface area, b is the bottom edge of the base triangle, h is the height of the base triangle, l is the length of the prism, and s1, s2, and s3 are the three edges of the base triangle. If s is the length of one of its sides, then the area of each side of a cube is s2. Given, the radius and height of the smaller cylinder are 28 cm and 20 cm, respectively.

The cylinder has a surface area of 300 square meters, while the cylinder's height is 12 m. So, volume is = a 3 = 8 3 = 512 cm 3. There's something about being about to do a little coloring while practicing that gets kids engaged. The surface area of the rectangular prism is the sum of the area of lateral faces and rectangular bases. Examples surface area of a cube = 6 a 2 (a is the length of the side of each edge of the cube) in words, the surface area of a cube is the area of the six squares that cover it.

1
1 from
The formula for surface area is equal to six times of square of length of the sides of cube. The shape of a cone is formed by arranging several triangles and spinning them around an axis. The formula for finding the surface area of a triangular prism is given as: Maths surface area & volume part 3 (surface area examples) cbse class 10 mathematics x The general formula of the surface area of a cube is given as: This works as a great practice for finding surface area on paper from a drawing. Where r = radius of the circular face and h = height of the cylinder. A cone can be classified as a right circular or an oblique cone.

The surface area of the rectangular prism is the sum of the area of lateral faces and rectangular bases.

If the lateral surface area of a cube is 900 cm 2, find the length of its side. Example 15.5.8 finding the surface area of a parameterized surface using the parameterization found in example 15.5.2, find the surface area of z = x2 + 2y2 over the circular disk of radius 2, centered at the origin. The nanoparticles have superior uv blocking properties when compared to the bulk material, making them useful in applications such as sunscreen. One would calculate the surface area, and then. It is represented by 6a2, where a is the side length of cube.it is basically the total surface area. Let a be the side of the cube. Surface area is commonly denoted s for a surface in three dimensions, or a for a region of the plane (in which case it is simply called the area). You could use surface area to find the amount of wrap needed for a bale. A page of rectangular shapes and a page of triangular shapes. Find the surface area of f over r. There are a total of 6 surfaces hence, the total surface area = 6s 2. The surface area of the rectangular prism is the sum of the area of lateral faces and rectangular bases. The surface area of a cone is the area occupied by the surface of a cone.

Therefore, subtract its area from the surface area of the cylinder. Note that units are shown for convenience but do not affect the calculations. Finding the area of a triangle in space in example 13.5.1. Khan academy is a 501(c)(3) nonprofit organization. The shape of a cone is formed by arranging several triangles and spinning them around an axis.

Surface Area And Volume Formulas With Examples For Ssc And Bank Exams
Surface Area And Volume Formulas With Examples For Ssc And Bank Exams from examsbook.co.in
This activity features two coloring pages: The surface area of the cube is the total area covered by all six faces of the cube. A = bh + l (s1 + s2 + s3) where a is the surface area, b is the bottom edge of the base triangle, h is the height of the base triangle, l is the length of the prism, and s1, s2, and s3 are the three edges of the base triangle. Therefore, subtract its area from the surface area of the cylinder. The total surface area of the cube will be the sum of the area of the base and the area of vertical surfaces of the cube. Examples surface area of a cube = 6 a 2 (a is the length of the side of each edge of the cube) in words, the surface area of a cube is the area of the six squares that cover it. Khan academy is a 501(c)(3) nonprofit organization. If the lateral surface area of a cube is 900 cm 2, find the length of its side.

Examples of prisms are cubes and triangular, rectangular, hexagonal and octagonal prisms.

Examples of prisms are cubes and triangular, rectangular, hexagonal and octagonal prisms. Where r = radius of the circular face and h = height of the cylinder. The formula for surface area is equal to six times of square of length of the sides of cube. Also, learn volume of a cube. It is represented by 6a2, where a is the side length of cube.it is basically the total surface area. The surface area of a cone is the area occupied by the surface of a cone. A prism is a 3d solid with two congruent, opposite faces (bases) with all other faces parallelograms of some sort. Area of the diamond base s1 = 2.8 m 2, length of the base edge a = 14 dm, height of the prism 1,500 mm. The surface area of a cone is the sum of the flat end and side surface areas. Example 1 this cube has six congruent faces, each with a length and width of 3 cm. Note that units are shown for convenience but do not affect the calculations. Given that t.s.a = 384 sq. Surface area of a rectangular prism formula a polyhedron with two polygonal bases parallel to each other is a prism.a prism that has 2 parallel rectangular bases and 4 rectangular faces is a rectangular prism.